胸围小、体毛多、爱出汗?这些缺陷可能暗示健康!了解身体信号,关注健康生活。
近日,#你以为是身材缺陷其实是健康表现#话题登上微博热搜,引发网友热议。这一现象反映出公众对身体特征与健康关系的认知正在发生变化。越来越多的人开始意识到,某些曾被视作“缺陷”的身体特征,实际上可能是健康状态的体现。这种观念的转变有助于减少对外貌的刻板印象,促进更科学、包容的健康观。

微博截图

在日常生活中,我们常常被各种身材标准所影响:腿要细、肩要窄、皮肤要光滑……这些标准让我们容易将自身的不同之处看作“不足或缺陷”。然而,许多被忽视甚至被嫌弃的身体特征,实际上可能隐藏着健康优势,或许正是身体给予我们的某种保护机制。 在我看来,社会对身体的审美标准往往过于单一,忽略了个体差异背后的自然规律。当我们用狭隘的眼光看待自己的身体时,可能会错失了解自身真正价值的机会。事实上,每一个身体特征都有其存在的意义,有些看似“不完美”的地方,恰恰是身体在特定环境下形成的适应性表现。我们应该学会重新审视这些特征,而不是一味地追求外在的统一标准。
1.体毛旺盛:明显的身体毛发
体毛旺盛是指一个人身体毛发较为浓密、明显的一种特征,表现为四肢的毛发较重,男性可能有明显的胸毛,女性则可能在小臂或小腿上可见汗毛。人体的毛发主要分为两种类型:一种是粗厚的终毛,如腋毛、阴毛以及男性的胸毛等;另一种是细软的毳毛,这两种毛发覆盖了全身大部分的皮肤区域。 从生理角度来看,体毛的多少与遗传、激素水平等因素密切相关。在现代社会中,人们对体毛的态度逐渐多元化,部分人认为体毛是自然健康的标志,而另一些人则更倾向于通过脱毛等方式进行修饰。无论哪种选择,都应基于个人意愿和健康考量,不应受到外界过多的评判与压力。
现代审美往往倾向于光滑无毛的皮肤,尤其在女性中,浓密的体毛常被视为不够雅观或缺乏女性化特征,许多人在社交压力下选择脱毛。这种现象反映了社会对身体形象的特定期待,也引发了关于个人选择与社会规范之间关系的讨论。尽管个体有权根据自身喜好决定如何打理身体,但外界的评价标准仍对人们的行为产生深远影响。
然而,正常毛发不仅是外貌的重要组成部分,也在身体保护、温度调节等方面发挥着重要作用[1]。它们不仅影响个人形象,还在日常生活中承担着多种功能性价值,值得我们更加重视和了解。
它能够保护头皮免受紫外线和轻微损伤,睫毛和眉毛则有助于阻挡灰尘和汗水进入眼睛;这种自然的防护机制在日常生活中发挥着重要作用,尤其是在户外活动频繁或环境较为恶劣的情况下,更显其必要性。从健康角度来看,保持这些天然屏障的完整性和功能,对于维护整体舒适度和减少不必要的刺激具有积极意义。
在体温调节过程中,毛发在寒冷环境下起到保温作用,在炎热条件下有助于汗液蒸发散热。
毛囊周围的神经末梢让毛发具备了敏锐的触觉功能,能够感知外界环境的变化,并在必要时引发身体的保护反应。这种生理机制不仅体现了生物体对外界刺激的高度敏感性,也反映了自然进化中对生存需求的精准适应。从科学角度来看,这一现象进一步揭示了人体结构与功能之间的紧密联系,值得我们在关注健康与生理机制时给予更多重视。
2.粗大腿围:较大的大腿围度
大腿较粗通常指的是大腿根部的围度较大,这可能是由于肌肉较为发达或是皮下脂肪较多所导致的。
当代时尚审美往往倾向于修长的腿部线条,因此,大腿较为粗壮的人常被误认为是体重超标或不够纤细。一些人,尤其是女性,可能因为大腿较粗而感到自卑,将其视为身材上的不足之处。
医学研究表明,大腿围度较大其实与多项健康指标向好相关。流行病学研究[2]显示,大腿围与全因死亡率和心血管死亡率呈显著负相关;而且对老年人更有意义,大腿围超过 50 厘米的老人,发生肌少症的几率比大腿围不足 46 厘米的人低了约 90% 以上。[3]
根据大腿周长分组的肌肉减少症患病率
3.大骨架与宽肩膀:骨骼粗壮的体型
骨架大指肩膀较宽、骨骼尺寸较大、胸腔骨架宽厚的体型。这类体型通常给人以强壮、稳重的第一印象,也常被用于描述一些在体育或军事领域中具有明显身体优势的人群。从社会认知的角度来看,这种体型往往与力量、耐力等特质联系在一起,但在实际生活中,体型特征并不能完全代表一个人的能力或价值。我们应当避免对个体进行刻板印象的判断,更多关注其内在品质与实际表现。
女性以窄肩细骨架为优雅,有大骨架的人容易被误认为胖或不够苗条,自己也会觉得缺乏柔美;男性有时也会因为骨架大而显得魁梧过度显得笨重,因而被视作身材缺陷。
实际上,科学研究表明,这种体型也具有一定的健康价值。例如,一项针对2201名苏格兰成年男性的研究[3]显示,每增加1厘米的胸宽,瘦体重大约会增加3.7公斤,意味着拥有更高的肌肉和骨量比例。
另一项基于 Fels 纵向研究[4]的数据也显示,肩宽、髋宽、膝宽等骨架指标与全身的肌肉量和骨矿物含量呈显著正相关,男女都不例外。
这种在老年时期可以“消耗”的骨量储备越充足,越有助于降低患骨质疏松的风险。
4.小胸围:较小的乳房尺寸
小胸围指的是女性乳房体积较小、罩杯偏小的体型特征。有些人认为大乳房显得丰满美丽,而小乳房则“缺乏性感”。然而,医学研究指出,乳房体积越大,对身体的负担也相应增加。
脊柱外科领域的综述[5]指出,过大的乳房会导致身体重心前移,增加胸椎前屈的力矩,使背部肌肉长期处于紧张状态,进而引发轴性背痛和肌肉疲劳;接受乳房缩小手术的患者中,有84.6%的人背痛症状得到了改善,同时腰椎所承受的压力也有所减少。
另一项纳入了 25 项研究、共 3799 名女性的神经科综述[6]表明,巨乳症与头痛、颈肩痛、胸椎后凸以及上肢麻木等症状高度相关。术前头痛的患病率差异很大(2%–89%),但术后有 34%–100% 的患者头痛得到缓解。
从肌肉骨骼系统的角度来看,2019年的一篇文献综述[7]汇总了多项研究结果,发现乳房较大的女性通常存在胸椎后凸程度增加、肩关节活动范围减小、肩胛骨稳定性下降,并且上背部疼痛的评分也相对较高。
大乳房可能更容易导致驼背样的体态变化,而小乳房则更有利于维持自然挺拔的姿势。因此,小乳房并不应被视为一种缺陷,反而可能是身体更加轻盈、脊柱更健康的一种潜在保护因素。 从健康角度来看,身体各部位的形态与整体姿态密切相关。过度关注乳房大小带来的审美压力,可能会忽视其对身体结构的实际影响。保持良好的体态不仅关乎外在形象,也与脊柱健康息息相关。因此,不应单纯以乳房大小来评判身体的优劣,而应更多关注整体的健康状态和自然的身体平衡。
5.容易出汗
许多人将“大汗淋漓”视为尴尬的形象缺陷,认为出汗多不体面,也担心自己是不是身体差。
事实上,生理学研究指出,容易出汗往往表明体温调节机制较为灵敏,身体对运动的适应能力较强。
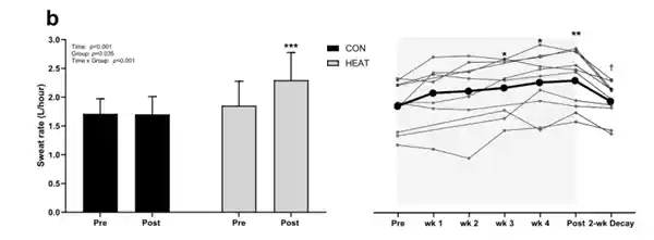
一项针对20名精英自行车运动员的热适应研究[7]显示,经过5周的训练,运动员的出汗率平均提高了0.44升/小时,同时汗液中的钠浓度明显降低,运动中的耐热能力和运动表现均有提升。这表明,汗腺分泌能力的增强并非能量的浪费,而是身体通过更高效的出汗方式来迅速散热,并通过减少汗液中的盐分来节省电解质。
左:出汗率 右:每个HEAT参与者的时间表
另一项为期10天的热适应实验[8]也显示,局部出汗率提升了36%至58%,而汗液中的钠、氯和乳酸浓度则降至初始水平的约60%。这种“出汗增多、盐分流失减少”的现象,体现了汗腺功能的优化。
综述性研究也强调了出汗的重要性。正常而充足的汗液蒸发是人体最关键的散热方式,缺乏出汗功能会让核心体温迅速升高,增加热衰竭和热射病风险。[9]
一项综合分析超过200篇相关文献的荟萃研究[10]显示,热适应过程中全身出汗量平均提升163毫升/小时,同时核心体温和心率有所下降,运动耐力提升了约49%,这直接体现出出汗功能与运动表现及身体耐受能力之间的正向关联。
因此,容易出汗并非身体素质差,而是体温调节灵敏、血液循环和汗腺功能良好的信号。
但需要注意的是,如果出汗情况过于频繁,或伴随夜间盗汗并影响到日常生活,就需要排查是否为原发性或继发性多汗症等疾病。
总结:
健康不仅仅体现在外表的曲线美上,更关键的是身体内部是否运行正常。体毛、大腿围、骨骼大小、胸部尺寸、出汗情况等,这些常被视作身材缺陷的特征,实际上可能反映出不同的健康状况。
真正的美,不是为了符合他人眼中的标准,而是由身体的自然状态和内心坚定所展现出的健康魅力。
参考文献
[1]THE STRUCTURE AND FUNCTION OF HAIR. (2025). EduVision: Journal of Innovations in Pedagogy and Educational Advancements, 1(5), 426-437.
[2]Liu J, Jin X, Feng Z, et al. The association of central and extremity circumference with all-cause mortality and cardiovascular mortality: a cohort study. Front Cardiovasc Med. 2023;10:1251619.
[3]Garn SM, Pesick SD, Hawthorne VM. The bony chest breadth as a frame size standard in nutritional assessment. Am J Clin Nutr. 1983 ;37(2):315-8.
[4]Chumlea WC, Wisemandle W, Guo SS, et al. Relations between frame size and body composition and bone mineral status. Am J Clin Nutr. 2002;75(6):1012-6.
[5]Aref Y, Bono CM, Najafian A. Back pain in patients with macromastia: what a spine surgeon should know? Spine J. 2025;25(3):403-410.
[6]Pocock KS, Laikhter E, Hardy BW, et al. Enlarged Breast Size (Macromastia) and Associated Neurologic Risks: A Scoping Review. Neurology. 2024;103(3):e209660.
[7]Zieliński G, Filipiak Z, Suwa?a M, et al. Bust size and pain of the musculoskeletal system – a literature review. Med Og Nauk Zdr. 2019;25(1):44-47.
[8]Klous L, De Ruiter C, Alkemade P, et al. Sweat rate and sweat composition during heat acclimation. J Therm Biol. 2020;93:102697.
[9]Baker LB. Physiology of sweat gland function: The roles of sweating and sweat composition in human health. Temperature (Austin). 2019;6(3):211-259.
[10]McDonald P, Brown HA, Topham TH, et al. Influence of Exercise Heat Acclimation Protocol Characteristics on Adaptation Kinetics: A Quantitative Review With Bayesian Meta-Regressions. Compr Physiol. 2025;15(3):e70017.
策划制作
作者丨蒋永源 第三军医大学内科硕士
审核丨唐芹 中华医学会科普专家委员会副秘书长 研究员 国家健康科普专家
徐敏,天津医科大学代谢病医院皮肤科副主任医师,同时担任天津市医学会皮肤性病学分会委员。
兰义兵,现任浙江大学医学院附属妇产科医院副主任医师,同时担任中华预防医学会生育力保护分会青年委员会委员。
策划丨钟艳平
责编丨钟艳平
审校丨徐来、张林林